Doppelblind Studie AcalaQuell
Doppelblind Studie AcalaQuell laden Sie sich hier das englische Original als PDF herunter :
Deutsche Übersetzung:
Linderung von Gesundheitsbeschwerden
nach regelmäßigem Konsum von gefiltertem Leitungswasser (AcalaQuell®) ist unabhängig von Placeboeffekten:
Eine randomisierte, doppelblinde, kontrollierte Feldstudie
Rainer Schneider, RECON Rainer Schneider, RECON - Research and Consulting, Teningen, Germany*
ABSTRAKT
Kürzlich konnte gezeigt werden, dass der regelmäßige Konsum einer standardisierten Menge gefilterten Leitungswassers die selbstberichteten körperlichen Beschwerden verbesserte.
Da sich die Personen jedoch der Art des von ihnen konsumierten Wassers voll bewusst waren, war unklar, inwieweit dieser Effekt auf Placebo-Effekte zurückzuführen war.
Diese Arbeit testet die Wirksamkeit eines Wasserfiltersystems für den Hausgebrauch (AcalaQuell®), das mit einem Scheinwasserfilter ohne nennenswerte Filterinhaltsstoffe verglichen wurde.
Beide Filter waren
verdeckt, und die Teilnehmer wussten, dass die Wahrscheinlichkeit, den
klinisch erprobten Filter zu erhalten, bei 50 % lag.
Es gab große
Unterschiede zwischen den beiden Gruppen (0,7 < d < 2,0.). Bei
personenspezifischen Beschwerden betrug die Reduktion in der Gruppe mit
gefiltertem Wasser 38 %, während die Reduktion in der Placebogruppe etwa
8 % betrug.
Subjektive Gesundheitsbeschwerden werden nach täglicher
Einnahme von AcalaQuell®-gefiltertem Leitungswasser über einen
dreiwöchigen Einnahmezeitraum deutlich reduziert. Dieser Effekt ist
spezifisch und unabhängig von Placeboeffekten.
SCHLÜSSELWÖRTER
AcalaQuell, Trinkwasserverschmutzung, Wirksamkeit, Nutzen für die Gesundheit, Gesundheitsbeschwerden, Hauswasserfilter, Placebo-Effekt, öffentliche Gesundheit
EINFÜHRUNG
Die Gesundheit hängt entscheidend von der Qualität des Trinkwassers ab (Chowdhury et al., 2019; Clasen et al., 2014; Daughton, 2018; Koopaei und Abdollah, 2017), aber viele Angehörige der Gesundheitsberufe neigen dazu, seine Bedeutung für die Aufrechterhaltung der physiologischen Funktionen, z. B. Blutdruck, pH-Wert und Körpertemperatur (Armstrong und Johnson, 2018; Perrier, 2019), etwas zu reduzieren.
Dennoch war die vorbeugende und heilende Kraft des Wassers während der gesamten Menschheitsgeschichte bekannt und Teil verschiedener therapeutischer Ansätze (Moss, 2010).
Auch wenn man die heilenden Eigenschaften des Wassers außer Acht lässt oder in Frage stellt, hegen viele ein weit verbreitetes Missverständnis in Bezug auf die Qualität des Trinkwassers.
Die schnell steigende Zahl toxischer Substanzen, die kommunales Oberflächen- und Grundwasser kontaminieren, wirkt sich auf alle Kläranlagen aus (Petrie et al, 2015).
Fließgewässer, die der kommunalen Wasserversorgung dienen, weisen ebenfalls hohe Schadstoffkonzentrationen auf, die als Vektoren für wassergebundene Schadstoffe oder Krankheitserreger wirken (Lechner, 2020). Es besteht jedoch eine Diskrepanz im Verständnis der Situation und ihrer Auswirkungen auf die öffentliche Gesundheit.
Eine kürzlich durchgeführte amerikanische Umfrage zur Wahrnehmung von Wasser hat gezeigt, dass zwar 60 Prozent der Experten ein Risiko für die öffentlichen Wassersysteme in den USA durch Krankheitserreger, Düngemittel oder Pestizide erkannten, die Wasserversorgung aber mehrheitlich immer noch als normal oder gut bewertet wurde (Eck et al., 2019).
Dieser Widerspruch könnte von einer subjektiven Wahrscheinlichkeitsverzerrung oder einem Abwehrmechanismus (Ferrer und Klein, 2015) herrühren, der noch akzentuierter wird, wenn man zusätzliche Faktoren berücksichtigt, die die Leitungswasserqualität beeinträchtigen können.
Neben mikrobiologischen und biochemischen Bedenken sind die Wasseraufbereitung und der Transport weitere potenzielle schädliche Faktoren. Es wurde argumentiert, dass die Aufnahme von „gestresstem“ Wasser das Wasser zwischen und innerhalb der Zellen im menschlichen Körper stört und pathologische makromolekulare Veränderungen hervorrufen kann (Davidson et al., 2013).
Zu solchen Stressoren gehören z. B. Wasserdesinfektion (z. B. Chlor oder Ozon), Ergänzung (z. B. Fluorid) und Komprimierung von Wasser durch Rohrtransport vom Lieferanten zum Haushalt.
Auch Flaschenwasser, das manche als gangbare Alternative ansehen, ist kontaminiert, egal ob die Flasche aus Plastik oder Glas ist. Beispielsweise zeigten in einer kürzlich durchgeführten Studie, in der 259 Flaschen aus 19 verschiedenen Ländern getestet wurden, 93 Prozent Anzeichen einer Kontamination mit Mikroplastik (Fragmente und Fasern), die sowohl von der Verpackung als auch von der Abfüllung stammten (Mason et al., 2018).
In Deutschland, dem Land mit den meisten Mineralwassermarken in Flaschen, erfüllte in einer großen Studie etwa ein Drittel die Trinkwasserverordnung der EU nicht (Birke et al., 2010). Eine kürzlich durchgeführte systematische Überprüfung, bei der Studien ausgewählt wurden, die verfahrenstechnische Blindproben und eine validierte Methode zur Analyse der Partikelzusammensetzung verwendeten, ergab, dass die qualitativ hochwertigen Studien eine starke mikroplastische Kontamination des Trinkwassers mit einer maximal gemeldeten Kontamination von 628 MPs/L für Leitungswasser und 4889 MPs/ L für abgefülltes Wasser (Danopoulos et al., 2020).
Diese Befunde sind sowohl im Hinblick auf ökologische Schäden als auch auf die Belastung des Gesundheitssystems besorgniserregend. Sie schlagen auch vor, dass die Definition von gesundem oder „lebenswichtigem“ Wasser über die aktuellen Regulierungsrichtlinien und Empfehlungen nationaler und internationaler Gesundheitsorganisationen hinaus überdacht werden sollte. Zum Beispiel zeigte Pollack (2001), dass Wasser in der menschlichen Zelle in einem Zustand strukturierter Aggregation vorkommt, den er EZ-Wasser (Exclusion Zone Water) nannte. In diesem Zustand organisiert sich Wasser homogen gegen eine hydrophile Oberfläche, um eine kristalline Struktur zu bilden, wodurch andere Moleküle über die EZ hinaus „gedrängt“ werden. Experimentelle Beweise deuten darauf hin, dass EZ-Wasser eine negative elektrische Ladung hat, die seine Funktionen für biochemische und strukturelle Prozesse verbessert (z. B. durch Verbesserung des Phasenwinkels von Gewebe, vgl. Emilee und Wilhelm-Leen, 2014). Darüber hinaus enthält es auch einen höheren Sauerstoffgehalt, der helfen kann, die Wundheilung zu verbessern (Ladizinsky und Roe, 2010), die Laktat-Clearance-Kinetik zu verbessern (Fleming et al., 2017), vor Muskelermüdung zu schützen (Ivannikov et al., 2017) , und steigern den Immunstatus und die Leberfunktion (Grubera et al., 2005). Dies deutet darauf hin, dass es Faktoren gibt, die über die reinen Schadstoffgrenzwerte hinaus die Qualität des Wassers beeinflussen.
Tatsächlich unterstützen epidemiologische Studien die Vorstellung, dass eine nicht optimale Haushaltswasserqualität im Laufe der Zeit nachteilige Auswirkungen hat, ebenso wie natürliche Wasserquellen aufgrund der zunehmenden Umweltverschmutzung (Vörösmarty et al., 2010).
Gesundheitsbewusste Verbraucher suchen nach alternativen Quellen, indem sie beispielsweise auf Point-of-Use (POU)-Wasseraufbereitungssysteme zurückgreifen, die die Qualität des Leitungswassers verbessern können, insbesondere im Hinblick auf das Herausfiltern einiger der am häufigsten bekannten Verunreinigungen (Brown et al., 2017). Es fehlt jedoch generell an Studien, die solche Bausteine in der Praxis (d.h. im realen Leben) untersuchen. Kürzlich wurde die Wirksamkeit eines solchen POU-Systems, eines Wasserfiltersystems für zu Hause, an einer vorklinischen Stichprobe von Erwachsenen getestet, die an verschiedenen Gesundheitsbeschwerden litten (Schneider, 2021). Laut mehreren chemischen Analysen reduziert dieses Filtersystem Pestizide, Bakterien, Leicht-, Schwer- und Halbmetalle, Pharmazeutika und andere wichtige Verunreinigungen erheblich.
Das Gerät zielt auch darauf ab, Leitungswasser zu revitalisieren, indem es seine ursprüngliche (hexagonale) Struktur wiederherstellt, von der angenommen wird, dass sie die Bioverfügbarkeit und die biophysiologischen Eigenschaften des Wassers verbessert. Diese Behauptung wurde noch nicht empirisch überprüft, aber Schneider (2021) fand große gesundheitliche Verbesserungsraten nach dreiwöchigem täglichem Konsum von gefiltertem Wasser. Im Durchschnitt nahmen sowohl die körperlichen als auch die psychischen Beschwerden deutlich ab (1,0 < d < 1,4), wobei Personen, die zu Beginn der Studie unter einer höheren Beschwerdelast litten, eine stärkere Linderung der Symptome erfuhren.
Ein methodologischer Vorbehalt bezüglich der Verallgemeinerbarkeit dieses Ergebnisses war jedoch die Art der verwendeten Kontrolle. Da das gefilterte Wasser gegen eine natürliche Kontrollbehandlung (d. h. Konsum von ungefiltertem Leitungswasser) getestet wurde, wurden Placebo-Effekte nicht kontrolliert. Daher wurde die vorliegende Studie durchgeführt, um (a) zu testen, ob die Wirkung reproduzierbar ist und (b) inwieweit sie spezifisch ist (d. h. auf den Konsum von gefiltertem Wasser zurückzuführen ist).
2. MATERIALIEN UND METHODE
Probe
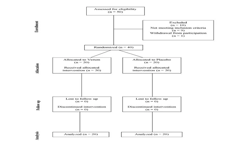
Insgesamt wurden fünfzig Teilnehmer in die Studie aufgenommen (vgl. Abbildung 1).
Sieben Personen erfüllten die Ausschlusskriterien, d. h. aktuelle Einnahme von Arzneimitteln (n = 4), gleichzeitige medizinische Behandlung der in der Studie getesteten Symptome (n = 2) und Beschwerden, die weniger als drei Monate bestehen (n = 1).
Zwei Personen erfüllten die Einschlusskriterien nicht (d. h. ihre primären körperlichen Beschwerden umfassten keine kardiovaskulären, gastrointestinalen, muskuloskelettalen Schmerzen oder Erschöpfungssymptome).
Ein Teilnehmer ist nach der Aufnahme ohne Angabe weiterer Gründe von der Teilnahme zurückgetreten.
Basierend auf der von Schneider (2021) gefundenen Effektgröße war die minimale Stichprobengröße, die benötigt wurde, um eine Trennschärfe von 1-β = 0,95 zu erhalten, n = 24 (Faul et al., 2009).
Somit war die Stichprobengröße von n = 40 (22 Frauen und 18 Männer) ausreichend groß, um den Effekt zu replizieren und zu bestimmen, ob er spezifisch war.
Das Durchschnittsalter betrug 46,6 Jahre (SD = 12,1). Das durchschnittliche Körpergewicht betrug 75,1 Kilo (SD = 13,9).
Alle Teilnehmer gaben eine schriftliche Einverständniserklärung ab und wurden mit 20 € vergütet.
Das Studienprotokoll wurde gemäß den Ethischen Grundsätzen für die medizinische Forschung mit menschlichen Probanden der World Medical durchgeführt.
Abbildung 1. Flussdiagramm von randomisierten und analysierten Teilnehmern


Fragebögen
Die Revidierte Reklamationsliste (CLR)
Die CLR ist ein deutscher Selbstbeurteilungsbogen zur Feststellung subjektiver Beeinträchtigungen durch körperliche oder allgemeine Beschwerden, die das gesamte Spektrum von Beschwerdefreiheit bis hin zu schwerer Beeinträchtigung abdecken (von Zerssen und Petermann, 2011).
Er besteht aus 20 Items (z. B. Müdigkeit, Schlaflosigkeit, Übelkeit, Anspannung), die alle einen allgemeinen Beschwerdefaktor belasten.
Das Itemformat umfasst die Anker „stark“ (3), „mäßig“ (2), „kaum“ (1) und „überhaupt nicht“ (0).
Das Instrument wird in einem breiten Spektrum von Patientengruppen eingesetzt, d. h. sowohl bei Patienten mit körperlichen (insbesondere chronischen) und psychischen Erkrankungen oder Störungen, als auch in den Bereichen der somatischen Medizin, der medizinischen Rehabilitation, der klinischen Psychologie und der Psychiatrie. Die interne Konsistenz (Cronbachs Alpha) der CLR beträgt α = .94.
Subjektive Beschwerdeliste Gießen (GSCL)
Der GSCL ist ein Fragebogen zur Erfassung der psychosomatischen bzw. mitbedingten Natur körperlicher Beschwerden (Brähler et al., 2006).
Im klinischen Bereich wird es verwendet, um medizinisch verursachte und subjektiv berichtete Symptome zu validieren.
Die 24 Items mit den Ankern „nicht“ (0), „kaum“ (1), „etwas“ (2), „erheblich“ (3) und „stark“ (4) decken folgende Beschwerden ab: Erschöpfung (z. B. Müdigkeit, übermäßiges Schlafbedürfnis), Magen-Darm-Probleme (z. B. Bauchschmerzen, Übelkeit), Muskel-Skelett-Schmerzen (z. B. Schmerzen in Gelenken oder Gliedmaßen, Rückenschmerzen) und Herzprobleme (z. B. unregelmäßiger Herzschlag, Schwindel).
Die vier Skalen können zu einem Gesamtbeschwerdebelastungsindex aggregiert werden. Die interne Konsistenz der Skalen reicht von α = .82 (Magen-Darm-Beschwerden) bis α = .94 (Beschwerdelast).
Personenspezifische Symptome
Da die meisten Teilnehmer primär unter einer vorherrschenden Erkrankung litten, wurde ein individueller Beschwerdescore berechnet, der aus einer der GSCL-Skalen abgeleitet wurde.
Es stellte die vorherrschende Erkrankung der Teilnehmer dar und spiegelte somit am besten alle signifikanten Veränderungen wider, die für die Behandlung beobachtet wurden.
Dies wurde auch getan, um die Auswirkungen nicht relevanter Beschwerden zu minimieren, die andernfalls die Beschwerdelast verringern würden. In Übereinstimmung mit der ersten Studie wurde diese Variable als primärer Ergebnisparameter angesehen.
Behandlung/Intervention
Wasserfilter
Die Teilnehmer in diesem Zustand konsumierten täglich 35 ml gefiltertes Leitungswasser pro kg Körpergewicht und folgten den Empfehlungen der Deutschen Gesellschaft für Ernährung (DGE) für eine optimale tägliche Wasseraufnahme.
Die Wassermenge wurde über den Tag verteilt in kleinen Portionen konsumiert. Über die erforderliche Menge an Wasseraufnahme hinaus konnten die Teilnehmer zusätzliche Getränke zu sich nehmen.
Der verwendete Filter (AcalaQuell®) war ein kruggroßer Behälter, bestehend aus einer Nachfülleinheit von 1 Liter, einer Behältereinheit von 1,3 Liter, einer Vorfiltereinheit (Mikroschwamm) und einer Filterkartusche.
Der Filter ist drucklos und lässt das Wasser einen Mikroschwamm mit einer Porengröße von 1 μm durchdringen, der für Staub, Rost, Mikroplastik oder andere schwebende Partikel undurchlässig ist.
Dann gelangt es in die Filterkartusche, die aus drei verschiedenen Kammern besteht, wo (a) ein Ionenaustauscher Kalk, Nitrat und Schwermetalle reduziert, (b) eine Hightech-Aktivkohle zusätzliche potenziell schädliche Substanzen wie Pestizide oder Medikamentenrückstände entfernt und (c) mehrere Materialien wie keramisch gebrannter Turmalin, Kalzium, Magnesium, Magnete und Quarzsand mineralisieren, strukturieren und alkalisieren das Wasser leicht.
Der Wasserfilter wurde von mehreren unabhängigen mikrobiologischen Labors getestet und für die Reduzierung von Pestiziden zertifiziert.
Für die Zwecke dieser Studie war der Filter undurchsichtig und konnte nicht geöffnet werden, ohne physisch manipuliert zu werden. Dies stellte eine Sicherheitsmaßnahme dar, um die Einhaltung/Blindung der Teilnehmer zu überprüfen.
(Pseudo-) Placebo
Die Teilnehmer in diesem Zustand konsumierten die gleiche Menge „gefiltertes“ Leitungswasser.
Der undurchsichtige Filter verwendete den gleichen Mikroschwamm, enthielt aber ansonsten unwirksame Inhaltsstoffe, nämlich Sand und Kies, die den Wasserfluss des Verum-Wasserfilters nachahmten und so den Eindruck eines aktiven Filtervorgangs vermittelten.
Studiendesign und -verfahren
Diese Feldstudie umfasste ein randomisiertes, placebokontrolliertes Doppelblinddesign.
Die Teilnehmer wurden individuell von der Versuchsleiterin kontaktiert, die das Messprotokoll, die Fragebögen und das Wasserfiltergerät erklärte.
Zusätzlich wurden den Teilnehmern die Teilnahmeinformationen, die Bedienungsanleitung und die Einverständniserklärung ausgehändigt. Die Zuordnung zu den Behandlungsbedingungen erfolgte nach dem Zufallsprinzip in einem randomisierten Blockdesign mit fünfstelligen Zufallszahlenfolgen, die in aufsteigender Reihenfolge gereiht und den experimentellen Bedingungen zugeordnet wurden.
Danach öffnete der Experimentator einen Umschlag mit der Behandlungsbedingung 1 (Verum) oder 2 (Placebo).
Den Teilnehmern wurde gesagt, dass zwei Arten von Filtern getestet würden, einer, der nachweislich Schadstoffe eliminiere, und einer, der ein Placebo sei, und dass die Wahrscheinlichkeit, einen von beiden zu erhalten, bei 50 Prozent liege.
Die Datenerhebung begann an einem Montagmorgen und endete am Sonntagabend der dritten Woche.
Am Ende der Studie wurden die Teilnehmer zum zweiten Mal kontaktiert, um den Wasserfilter und die Fragebögen zurückzusenden. Darüber hinaus wurden sie entblindet und entlohnt.
DATENANALYSE
Zur Beurteilung der Behandlungseffekte wurden die Effektgröße d (Cohen, 2008) und Konfidenzintervalle (95 %) für Vergleiche zwischen den Gruppen berechnet (Borenstein et al., 2009).
Abhängige Variablen waren Differenzwerte zwischen Vorbehandlungs- und Nachbehandlungsmessungen.
Die Berechnung der Effektstärken stand im Einklang mit der metaanalytischen Praxis (Hunter und Schmidt, 2004), den von Schneider (2021) berichteten Statistiken und als Folge der höchst problematischen Verwendung von Nullhypothesen-Signifikanztests (Greenland et al., 2016 ).
3. ERGEBNISSE
Symptomatologie
Zu Beginn der Studie klagten 22 Teilnehmer vor allem über Erschöpfungssymptome (z. B. Schwäche, übermäßiges Schlafbedürfnis),
elf Probanden berichteten von Magen-/Darmproblemen (z. B. Blähungen, Übelkeit) und sieben litten an muskuloskelettalen Schmerzen (z. B. Gelenkschmerzen, Rückenschmerzen).
Wasserverbrauch
Verglichen mit der normalerweise täglich konsumierten Wassermenge (2.487,5 ml) tranken die Teilnehmer während der Studie 2.628,5 ml Wasser.
Dieser Unterschied war statistisch nicht signifikant, da er innerhalb positiver und negativer Konfidenzintervallgrenzen lag (d = 0,3;
KI: -0,3 < d < 0,9). Aus diesem Grund wurde die verbrauchte Wassermenge nicht als Kovariate in die Analysen aufgenommen.
Beschwerden
Die Auswertungen der individualspezifischen Symptome als primäres Symptommaß zeigten, dass die Beschwerden in beiden Gruppen zu Studienbeginn im Mittel zwischen „etwas“ und „erheblich“ lagen.
Lediglich in der Verumgruppe kam es am Ende der Studie zu einer nennenswerten Reduktion. Sie reduzierte sich nach dem Verzehr des AcalaQuell®-Wassers um etwa 38 Prozent, während die Reduktion nach dem Verzehr von Placebo-gefiltertem Wasser etwa 8 Prozent betrug.
Dieser Unterschied war groß (d = 1,2; KI: 0,5 < d < 1,8; MVerum 0,78, SD = 0,59 vs. MPlacebo = 0,19, SD = 0,42). Die Wirksamkeit des AcalaQuell®-Filters war 4,9-mal größer als die Verbesserung nach Einnahme des Placebo-Filters (siehe Tabelle 1).
Zu einem ähnlichen Ergebnis kam die Analyse für das globale Beschwerdemaß CLR.
Bei Verwendung des AcalaQuell®-Filters verringerten sich die Symptome der Teilnehmer um etwa 36 Prozent, während die Verringerung nach Verwendung des Placebo-Filters 14 Prozent betrug.
Dieser Effekt war mittel bis groß (d = 0,7; KI: 0,1 < d < 1,4; Mverum = 0,34, SD = 0,24 vs. MPlacebo = 0,17, SD = 0,22). Ebenso zeigte der Globalbelastungsscore der GBB-24 eine vergleichbare Verbesserung in der Verumgruppe um ca. 38 Prozent, während es sich in der Placebo-Bedingung um ca. 12 Prozent.
Der differentielle Effekt war jedoch höher (d = 1,3; KI: 0,6 < d < 2, MVerum = 0,52, SD = 0,38 vs. MPlacebo = 0,15, SD = 0,12).
Bezüglich der Subskalen des GSCL zeigte sich in allen vier Dimensionen eine größere Symptomlinderung in der Verumgruppe als in der Placebogruppe.
Bei muskuloskelettalen Schmerzen war dieser Effekt sehr groß (d = 2; KI: 1,2 < d < 2,6) und betrug in der Verum-Gruppe eine Linderung von etwa 35 Prozent, während er in der Placebo-Gruppe etwa fünf Prozent betrug.
Absolut gesehen verbesserten sich die Schmerzen um 0,51 Skalenpunkte (SD = 0,38) nach der Verwendung des AcalaQuell®-Filters und um 0,08 Skalenpunkte (SD = 0,16) nach dem Konsum des Placebo-gefilterten Wassers.
Bei Magen-Darm-Beschwerden zeigte sich zwischen den Studienarmen ein großer Effekt (d = 1,2; KI: 0,5 < d < 1,9), sodass sich die Symptome in der Verum-Gruppe um etwa 31 Prozent und in der Placebo-Bedingung um etwa 18 Prozent reduzierten (MVerum = 0,62; SD = 0,48 vs. MPlacebo = 0,18; SD = 0,21). Hinsichtlich der Erschöpfung zeigte sich ein mittlerer bis großer Effekt von d = 0,7 (KI: 0,1 < d < 1,3).
Die prozentualen Veränderungen betrugen ca. 34 Prozent für Verum und sieben Prozent für Placebo (MVerum = 0,53; SD = 0,63 vs. MPlacebo = 0,16; SD = 0,43).
Der differentielle Effekt für Herzbeschwerden war identisch mit Erschöpfung (d = 0,7; KI: 0,1 < d < 1,4), die jeweiligen Veränderungen von Vorbehandlung zu Nachbehandlung betrugen 44 Prozent für Verum und 16 Prozent für Placebo (MVerum = 0,34; SD = 0,34). 0,28 vs. MPlacebo = 0,17 SD = 0,19 Es sollte jedoch beachtet werden, dass dieser Symptomkomplex von keinem Teilnehmer als Hauptbeschwerde angegeben wurde.
Wie vermutet, waren die Mittelwerte sowohl der globalen Skalen (CLR, GSCL) als auch der Subskalen der GSCL nicht besonders hoch.
Zum Beispiel war der Schweregrad für die CLR-Skala und die Gesamt-GSCL-Skala vor der Behandlung relativ niedrig (Ankerskala „kaum“).
Dies lag, wie oben skizziert, daran, dass nur wenige Personen unter multiplen Symptomen litten und daher die Werte in den Skalen gemittelt wurden.
Dennoch zeigten sich trotz relativ geringer Gesamtsymptombelastung nach dem Verzehr des AcalaQuell® Filterwassers große Effekte in der Symptomreduktion.
Dies deutete darauf hin, dass das Wasser eine Wirkung hatte, die nicht durch Placebo- oder Erwartungseffekte verursacht wurde (siehe Abb. 1).
Tabelle 1. Mittelwerte und Standardabweichungen der gemeldeten Beschwerden
| Placebo-Filterwasser | AcalaQuell® Filterwasser | |||
| Vor | Nach | Vor | Nach | |
| Individuelle spezifische Beschwerde a | 2,2 (0,7) | 2,1 (1) | 2,1 (0,5) | 1,3 (0,5) |
| Subjektive Beschwerdeliste Gießen a | 1,6 (0,6) | 1,4 (0,6) | 1,3 (0,5) | 0,8 (0,4) |
| Erschöpfung a | 2,3 (0,8) | 2,2 (1) | 1,5 (0,9) | 1 (0,7) |
| Magen-Darm-Probleme a | 1 (0,6) | 0,8 (0,6) | 1,6 (0,7) | 0,9 (0,4) |
| Muskel-Skelett-Schmerzen a | 1,9 (0,8) | 1,8 (0,8) | 1,4 (0,5) | 0,9 (0,5) |
| Herzprobleme a | 1 (0,6) | 0,8 (0,6) | 0,8 (0,5) | 0,4 (0,6) |
| Reklamationsliste überarbeitet b | 1,4 (0,5) | 1,2 (0,6) | 1,1 (0,4) | 0,7 (0,3) |
ZUSÄTZLICHE ANALYSE
Die Tatsache, dass das Spektrum der Symptome in der Stichprobe sehr unterschiedlich war, deutet darauf hin, dass die Wirksamkeit des AcalaQuell®-Wasserfilters unterschätzt worden sein könnte.
Es war denkbar, dass Teilnehmer mit milderen Symptomen nicht in gleichem Maße profitierten. Theoretisch und statistisch gesehen ist die Wahrscheinlichkeit, dass eine Verringerung leichter Symptome verringert wird, geringer als die Milderung starker Symptome, was die Ergebnisse verfälschen könnte.
Um dieser Annahme nachzugehen, wurden die Analysen für die differentiellen Effekte auf diejenigen Personen beschränkt, die eine individuelle Beschwerdelast von mindestens „etwas“ (Skala Anker 2) angaben, was bei n = 21 Teilnehmern der Fall war (nVerum = 10; nPlacebo = 11).
Dadurch war die mittlere Verbesserung in der Verumgruppe mit einer Reduktion von 2,5 (SD = 0,2) auf 1,3 (SD = 0,6) deutlich größer, was einer Belastung von „kaum“ entspricht.
Die Ergebnisse für die Placebogruppe blieben unverändert (Skalenwert 2,8 (SDpre = 0,5; SDpost = 0,6). Der entsprechende Effekt war sehr groß (d = 2,5; CI: 1,7 < d < 3,3).
Die erste Studie zeigte, dass die Rücklaufquote derjenigen, die vom AcalaQuell®-Filter profitierten, sehr hoch war (90 Prozent).
In dieser Studie erfuhren zwei Testpersonen keine Veränderung ihrer vorherrschenden Symptome, was die oben genannte Ansprechrate replizierte. Die Verbesserungsrate der Antwortgebern lag zwischen 12 und 87 Prozent.
Im Gegensatz dazu erlebten fünf Personen in der Placebogruppe keine Veränderungen und drei berichteten von einer Verschlechterung um 6–13 %.
Es ist jedoch nicht davon auszugehen, dass diese Verschlechterung durch den Genuss von Leitungswasser verursacht wurde, sondern kann durchaus auf natürliche Schwankungen oder Symptomverläufe zurückzuführen sein.
Bemerkenswert ist, dass bei den drei Personen bereits zu Beginn der Studie ein hohes Maß an Beschwerden (Müdigkeit) bestand.
Die erste Studie ergab, dass die Wirksamkeit des AcalaQuell® Wasserfilters umso höher war, je höher die Beschwerdelast zu Beginn der Studie war.
Um diese Beziehung zu untersuchen, wurde die gleiche Analyse für die vorliegende Probe durchgeführt.
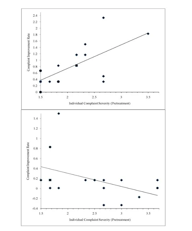
Abbildung 2 zeigt das Korrelationsmuster zwischen individueller Symptomschwere zu Beginn der Studie und Symptombesserung am Ende.
Wie zu sehen ist, war das Muster für beide Studienarme entgegengesetzt. Während der Korrelationseffekt in der Verumgruppe r = 0,67 (d = 1,8) betrug, lag er in der Placebogruppe bei r = -0,48 (d = 1,1).
Teilnehmer, die AcalaQuell®-Wasser tranken, profitierten umso mehr, je stärker ihre Symptome anfänglich waren.
Im Gegensatz dazu verschlechterten sich die Symptome der Personen, die das Placebo-gefilterte Wasser tranken, je höher der Grad der Beschwerden zu Beginn der Studie war.
Der Unterschied zwischen den Korrelationen war groß (Cohens q = 1,3).

Abbildung 2. Mittlere Symptomverbesserung (Vorbehandlung minus Nachbehandlung); Skalenbereich: CLR = 0-3; GSCL = 0-4
Individual Complaints = individuelle Beschwerde, Exhaustion = Müdigkeit, Gastro-Intestinal Problems = Magen-Darm-Probleme, Musculo-Skeletal Pain = Muskel-Skelett-Schmerzen, Heart Problems = Herzprobleme.

Abbildung 3. Korrelation zwischen individueller Beschwerdelast und Symptomlinderung; obere Hälfte: AcalaQuell®, untere Hälfte: Placebo; quadratische Markierungen: drei überlappende Datenpunkte; Kreise: zwei überlappende Datenpunkte
Complaint Improvmente Rate = Reklamationsverbesserungsrate, Individual Complaint Severity = Schweregrad der individuellen Beschwerde, Pretreatment = Vorbehandlung
4. DISKUSSION
Ziel dieser Studie war es zu testen, ob die Wirksamkeit des AcalaQuell® Wasserfiltersystems auf vermittelten Placebo-Effekten oder auf der direkten Folge des Konsums von gefiltertem Wasser beruht.
Die Ergebnisse zeigten sowohl allgemeine als auch individuell spezifische Beschwerdereduktionen, die sehr spezifisch waren.
Das Ergebnismuster dieser Studie entsprach dem der ersten, sowohl hinsichtlich der Effektstärke (d = 1,2 vs. d = 1,4) als auch der prozentualen Abnahme (30 Prozent vs. 26 Prozent).
Wie groß der Effekt ist, zeigt die Tatsache, dass 88,5 Prozent der Teilnehmer in der Verumgruppe eine Verbesserungsrate hatten, die über dem Mittel der Placebogruppe lag. Wie erwartet gab es deutliche interindividuelle Unterschiede in der Rücklaufquote, wobei einige Personen geringere Verbesserungen zeigten, während andere eine stärkere Linderung der Symptome erfuhren.
Wie in der ersten Studie bestand ein starker Zusammenhang zwischen der Wirksamkeit des AcalaQuell®-Filtersystems und der Schwere der Symptome, sodass Personen mit stärkerer Symptomatik stärker profitierten.
Insgesamt war die Wirksamkeit des AcalaQuell®-Wasserfilters reproduzierbar, und die Wirkung wurde nicht durch Placebo-Effekte vermittelt, was durch die Tatsache bestätigt wird, dass die spezifische Wirkung die Placebo-Wirkung um 275 Prozent übertraf.
Die Beobachtung, dass der Placebofilter nur eine geringe Wirkung hatte, legte nahe, dass der Mikroschwamm keinen nennenswerten Effekt auf die Beschwerdesymptomatik ausübte, da er auch Bestandteil des Placebofilters war.
Die Verbesserung in der Verum-Gruppe muss also durch die Bestandteile des Filters verursacht worden sein, der neben der Reinigung, Mineralisierung und Alkalisierung des Leitungswassers den Anspruch erhebt, es zu „strukturieren“.
Die Art dieser Studie erlaubte keine Untersuchung dieser Behauptung. Es gibt jedoch orthodoxe Erklärungen für die beschwerdemindernde Wirkung.
Beispielsweise verbessert eine verbesserte Wasserqualität seine Reinigungseigenschaften, indem es die Nieren dabei unterstützt, Abfallprodukte aus dem Blut zu entfernen und giftige Substanzen im Urin auszuscheiden.
Es hat sich gezeigt, dass solche Effekte Ermüdungssymptome lindern (Pross et al., 2014). Ebenso können Magen-Darm-Störungen durch eine Änderung des pH-Werts des Trinkwassers verbessert werden, was sich auf die Darmmikrobiota und die Glukoseregulation auswirken kann (Sofi et al., 2014).
Wie in der Einleitung erwähnt, gibt es jedoch eine Reihe von Studien, die die Annahme unterstützen, dass es medizinische Wirkungen von strukturiertem Wasser geben könnte, die im Prinzip zu der positiven Wirkung dieses Wasserfiltersystems beigetragen haben könnten.
Die Ergebnisse dieser Arbeit sind potenziell sowohl für die private Gesundheit als auch für das öffentliche Gesundheitssystem von Nutzen.
Epidemiologische Daten deuten darauf hin, dass die kontinuierliche Zunahme von Schadstoffen im Trinkwasser zunehmend resistenter gegen Metabolisierung oder Ausscheidung werden.
Ihre Rolle bei der Verursachung von oxidativem Stress, der symptomatisch für zahlreiche gesundheitsschädliche Auswirkungen ist, darunter Krebs, Herz-Kreislauf-Erkrankungen, Diabetes, Atherosklerose und neurologische Störungen, ist gut dokumentiert (Chowdhury et al., 2019; Jomova und Valko, 2011).
Obwohl es viele Point-of-Use (POU)-Wasseraufbereitungssysteme gibt, die z. B. aus Destillation, Umkehrosmose, Aktivkohlefiltern, UV-Behandlung oder Kationenaustauschharzkügelchen, ist der empirische Beweis für ihre Nützlichkeit rar.
Das Ergebnis dieser Studie stimmt mit Beweisen überein, die darauf hindeuten, dass die Verwendung eines effektiven Wasserfilters mit einer Verringerung von Gesundheitsproblemen verbunden ist, selbst wenn die Qualität der Quellen berücksichtigt wird (Bain et al., 2012; Wolf et al., 2014 ).
Daher kann die regelmäßige Verwendung von gefiltertem Wasser aus dem AcalaQuell®-System die Gesundheit zumindest in subklinischen Bevölkerungsgruppen fördern und die durch den Konsum von kontaminiertem Wasser verursachten langfristigen Kosten für die öffentliche Gesundheitsversorgung senken.
Es gibt mehrere Fragen, die diese Arbeit nicht beantworten konnte. Beispielsweise können subjektive Gesundheitsbeschwerden und medizinische Symptome kovariieren oder nicht. Phänomenologische (d. h. erlebte) Beschwerden haben möglicherweise keine tatsächliche klinische Ursache und können daher nicht organisch oder funktionell (d. h. objektiv) quantifiziert werden. Vielmehr können sie sich als körperliche Symptome manifestieren, die durch psychische Faktoren (z. B. Lebensstress) verursacht werden.
Umgekehrt können Patienten mit einer diagnostizierten Erkrankung beschwerdefrei sein und somit keine Beschwerden (z. B. Bluthochdruck) verspüren. Subjektive Beschwerden und objektive Gesundheitsprobleme korrelieren im Durchschnitt nur mäßig, sodass die Ergebnisse dieser Studie jenseits rein subjektiver Gesundheitsprobleme einer Bestätigung bedürfen. Dennoch sind subjektive Beschwerden nicht als unbedeutend abzutun, da sie auch ohne medizinische Grundlage bestehen. Die Tatsache, dass diese Studie eine sehr spezifische Wirkung auf subjektive Gesundheitsbeschwerden zeigte, belegt dies.
Ein Ziel dieser Studie war es, ein POU-Filtersystem im tatsächlichen Gebrauch und in einer natürlichen Umgebung zu untersuchen.
Damit sind die Ergebnisse extern valide. Es gibt jedoch viele Faktoren, die nicht berücksichtigt werden konnten, beispielsweise die Einhaltung des Studienprotokolls, die Wasserinstallationen vor Ort oder die Wasserqualität des Lieferanten. Außerdem wurde nur ein relativ begrenzter Zeitraum untersucht und die Teilnehmer wurden nicht nachbeobachtet. Zukünftige Studien sollten diese Faktoren berücksichtigen und Forschungsdesigns verwenden, die Rückschlüsse auf verschiedene Arten von Beschwerden, Ergebnisparameter (z. B. Biomarker, medizinische Diagnosen) und Proben (klinisch vs. nicht klinisch) zulassen.
Im Hinblick auf den therapeutischen Einsatz des Geräts sollten zukünftige Studien mehr Licht auf die Fähigkeit des Filters werfen, andere Behandlungen zu beschleunigen oder zu ergänzen, z.B. während der Rekonvaleszenz, Genesung und therapeutischen Behandlung.
Obwohl der Filter nicht als medizinisches Werkzeug konzipiert ist, könnte seine Wirksamkeit genutzt und auf den klinischen Bereich ausgedehnt werden.
Solche Studien sollten auch Techniken in besser kontrollierten Umgebungen anwenden, die die Untersuchung biomedizinischer Faktoren ermöglichen, die als vermittelnde Faktoren zur Wiederherstellung der Gesundheit wirken.
Dabei soll die Frage geklärt werden, ob und wie der Filter das Wasser tatsächlich strukturiert, da dies wesentlich zum Verständnis der heilenden Eigenschaften des Wassers beitragen könnte.
5. FAZIT
Das AcalaQuell® Wasserfiltersystem reduziert subjektive Gesundheitsbeschwerden erheblich.
Die Wirkung ist groß und zeigt sich bereits nach drei Wochen regelmäßiger täglicher Wasseraufnahme.
Der Konsum von gefiltertem Wasser kann individuelle Gesundheitsprobleme reduzieren, möglicherweise daraus resultierende organische und/oder medizinische Gesundheitsprobleme verhindern und kann somit ein wirksames Instrument zur Reduzierung
der Kosten für die öffentliche Gesundheit sein, die mit kontaminiertem Trinkwasser verbunden sind.
FINANZIERUNG
Diese Forschung erhielt keine spezifische Förderung von Fördereinrichtungen im öffentlichen, kommerziellen oder gemeinnützigen Sektor.
FÖRDERAGENTUR
Die Open-Access-Finanzierung für diesen Artikel wurde vom Autor dieses Manuskripts übernommen.
INTERESSENKONFLIKT
Die Studie wurde von Acala GmbH, Deutschland, unterstützt.
Das Unternehmen hatte keine Rolle bei der Erhebung, Analyse und Interpretation von Daten, beim Verfassen des Berichts und bei der Entscheidung, den Artikel zur Veröffentlichung einzureichen.
ANERKENNUNG
Ich danke Nick Singer für hilfreiche Kommentare zur Verständlichkeit der Arbeit.
VERWEISE
Armstrong, L. E., & Johnson, E. C. (2018). Water intake, water balance, and the elusive daily water requirement. Nutrients, 10, 1928. Published, 2018(Dec), 5. doi:10.3390/nu10121928 PMID:30563134
Bain, R., Gundry, S., Wright, J., Yang, H., Pedley, S., & Bartram, J. (2012). Accounting for water quality in monitoring access to safe drinking-water as part of the Millennium Development Goals: Lessons from five countries. Bulletin of the World Health Organization, 90(3), 228–235. doi:10.2471/BLT.11.094284 PMID:22461718
Bautron, I., & Ravaud, P. (2014). CONSORT for nonpharmacologic treatments. In D. Moher, D. G. Altman, K. F. Schulz, I. Simera, & E. Wager (Eds.), Guidelines for reporting health research. A user’s manual (pp. 101–112). John Wiley and Sons.
Birke, M., Rauch, U., Harazim, H., Lorenz, H., & Glatte, W. (2010). Major and trace elements in German bottled water, their regional distribution, and accordance with national and international standards. Journal of Geochemical Exploration, 107(3), 245–271. doi:10.1016/j.gexplo.2010.06.002
Borenstein, M., Hedges, L. V., Higgins, J. P. T., & Rothstein, H. R. (2009). Introduction to meta-analysis. John Wiley & Sons. Doi:10.1002/9780470743386
Brahler, E., Hinz, A., & Scheer, J. W. (2006). GBB-24. Der Gießener Beschwerdebogen. Bern: Huber.
Brown, K. W., Gessesse, B., Butler, L. J., & MacIntosh, D. L. (2017). Potential effectiveness of Point-of-Use filtration to address risks to drinking water in the United States. Environmental Health Insights, 11. Advance online publication. doi:10.1177/1178630217746997 PMID:29270018
Chowdhury, R., Ramond, A., O’Keeffe, L. M., & Shahzad, S. (2019). Environmental toxic metal contaminants and risk of cardiovascular disease: Systematic review and meta-analysis. BMJ (Clinical Research Ed.), 362, k3310. PMID:30158148
Clasen, T., Pruss-Ustun, A., Mathers, C. D., Cumming, O., Cairncross, S., & Colford, J. M. Jr. (2014). Estimating the impact of unsafe water, sanitation and hygiene on the global burden of disease: Evolving and alternative methods. Tropical Medicine & International Health, 19(8), 884–893. doi:10.1111/tmi.12330 PMID:24909205
Cohen, J. (2008). Statistical power analysis for the behavioral sciences. Hillsdale:e Laurence Erlbaum Associates. Danopoulos, E., Twiddy, M., & Rotchell, J. M. (2020). Microplastic contamination of drinking water: A systematic review. PLoS One, 15(7), e0236838. doi:10.1371/journal.pone.0236838 PMID:32735575
Daughton, C. G. (2018). Monitoring wastewater for assessing community health: Sewage Chemical-Information Mining (SCIM). The Science of the Total Environment, 619-620, 748–764. doi:10.1016/j.scitotenv.2017.11.102 PMID:29161600
Davidson, R. M., Lauritzen, A., & Seneff, S. (2013). Biological water dynamics and entropy: A biophysical origin of cancer and other diseases. Entropy (Basel, Switzerland), 15(12), 3822–3876. doi:10.3390/e15093822
Eck, J. E., Wagner, K. L., Chapagain, B., & Joshi, O. (2019). A survey of perceptions and attitudes about water issues in Oklahoma: A comparative study. Journal of Contemporary Water Research & Education, 168(1), 66–77. doi:10.1111/j.1936-704X.2019.03321.x
Emilee, R., & Wilhelm-Leen, M. D. (2014). Phase angle, frailty and mortality in older adults. Journal of General Internal Medicine, 29(1), 147–154. doi:10.1007/s11606-013-2585-z PMID:24002625
Faul, F., Erdfelder, E., Buchner, A., & Lang, A.-G. (2009). Statistical power analyses using G*Power 3.1: Tests for correlation and regression analyses. Behavior Research Methods, 41(4), 1149–1160. doi:10.3758/ BRM.41.4.1149 PMID:19897823
Ferrer, R., & Klein, W. M. (2015). Risk perceptions and health behavior. Current Opinion in Psychology, 5, 85–89. doi:10.1016/j.copsyc.2015.03.012 PMID:26258160
Fleming, N., Vaughan, J., & Feeback, M. (2017). Ingestion of oxygenated water enhances lactate clearance kinetics in trained runners. Journal of the International Society of Sports Nutrition, 14(1), 9. doi:10.1186/ s12970-017-0166-y PMID:28360825
Greenland, S., Senn, S. J., Rothmann, K. J., Carlin, J. B., Poole, C., Goodman, S. N., & Altman, D. G. (2016). Statistical tests, P values, confidence intervals, and power: A guide to misinterpretations. European Journal of Epidemiology, 31(4), 337–350. doi:10.1007/s10654-016-0149-3 PMID:27209009
Grubera, R., Axmann, S., & Schoenberg, M. H. (2005). The influence of oxygenated water in the immune status, liver enzymes, and the generation of oxygen radicals: A prospective, randomized, blinded clinical study. Clinical Nutrition (Edinburgh, Lothian), 24(3), 407–414. doi:10.1016/j.clnu.2004.12.007
Hunter, J. E., & Schmidt, F. (2004). Methods of meta-analysis: Correcting error and bias in research findings. Sage Publishers. Doi:10.4135/9781412985031
Ivannikov, M. V., Sugimori, M., & Llinas, R. R. (2017). Neuromuscular transmission and muscle fatigue changes by nanostructured oxygen. Muscle & Nerve, 55(4), 555–563. doi:10.1002/mus.25248 PMID:27422738
Jomova, K., & Valko, M. (2011, May). Advances in metal-induced oxidative stress and human disease. Toxicology, 283(2-3), 65–87. doi:10.1016/j.tox.2011.03.001 PMID:21414382
Koopaei, N. N., & Abdollah, M. (2017). Health risks associated with the pharmaceuticals in wastewater. DARU Journal of Pharmacological Sciences, 25(1), 9. doi:10.1186/s40199-017-0176-y PMID:28403898
Ladizinsky, D., & Roe, D. (2010). New insights into oxygen therapy for wound healing. Wounds: a Compendium of Clinical Research and Practice, 12, 294300. PMID:25901579
Lechner, A. (2020). “Down by the River”: (Micro-)Plastic pollution of running freshwaters with special emphasis on the Austrian Danube. In M. Streit-Bianchi, M. Cimadevila, & W. Trettnak (Eds.), Mare plasticum - The plastic sea (pp. 141–185). Springer. Doi:10.1007/978-3-030-38945-1_8
Mason, S. A., Welch, V. G., & Neratko, J. (2018). Synthetic polymer contamination in bottled water. Frontiers in Chemistry, 6, 4017. doi:10.3389/fchem.2018.00407 PMID:30255015
Moss, G. A. (2010). Water and health: A forgotten connection? Perspectives in Public Health, 130(5), 227–232. doi:10.1177/1757913910379192 PMID:21086819
Perrier, E. (2019). Hydration for Health: So what? Ten advances in recent hydration history. Annals of Nutrition & Metabolism, 74(Suppl. 3), 4–10. doi:10.1159/000500343 PMID:31203297
Petrie, B., Barden, R., & Kasprzyk-Hordern, B. (2015). A review on emerging contaminants in wastewaters and the environment: Current knowledge, understudied areas and recommendations for future monitoring. Water Research, 72, 3–27. doi:10.1016/j.watres.2014.08.053 PMID:25267363
Pollack, G. (2001). Cells, gels and the engines of life. Seattle: Ebner and Sons.
Pross, N., Demazieres, A., Girard, N., Barnouin, R., Metzger, D., Klein, A., Perrier, E., & Guelinckx, I. (2014). Effects of changes in water intake on mood of high and low drinkers. PLoS One, 9(4), e94754. Doi:10.1371/ journal.pone.0094754 PMID:24728141
Schneider, R. (2021, October). Self-reported physical complaints are reduced upon regular use of an in-home water filter system (AcalaQuell®): A prospective, controlled, documentation study. The Natural Products Journal, 11(5), 673–681. doi:10.2174/2210315510999200727204959
Sofi, M. H., Gudi, R., Karumuthil-Melethil, S., Perez, N., Johnson, B. M., & Vasu, C. (2014). pH of drinking water influences the composition of gut microbiome and Type 1 Diabetes incidence. Diabetes, 63(2), 632–644. doi:10.2337/db13-0981 PMID:24194504
von Zerssen, D., & Petermann, F. (2011). B-LR. Beschwerden-Liste. Hogrefe.
Vorosmarty, C. J., McIntyre, P. B., Gessner, M. O., Dudgeon, D., Prusevich, A., Green, P., Glidden, S., Bunn, S. E., Sullivan, C. A., Liermann, C. R., & Davies, P. M. (2010). Global threats to human water security and river biodiversity. Nature, 2010(7315), 555–561. Advance online publication. doi:10.1038/nature09440 PMID:20882010
Wolf, J., Pruss-Ustun, A., Cumming, O., Bartram, J., Bonjour, S., & Cairncross, S. et al.. (2014). Assessing the impact of drinking water and sanitation on diarrheal disease in low- and middle-income settings: Systematic review and meta-regression. Tropical Medicine & International Health, 19, 928–942. doi:10.1111/tmi.12331 PMID:24811732